近日,青青草原
粒子物理团队宋玉坤副教授,与山东大学前沿交叉科学青岛研究院粒子物理理论团队魏树一研究员、周剑教授、博士研究生杨磊合作,在高能自旋物理理论研究中取得重要进展,提出了基于能量能量关联(EEC)抽取胶子极化信号的新方法。相关研究成果以“Gluon Polarimetry with Energy-Energy Correlators”为题,以青青草原
为第一单位发表在《物理评论快报》(Physical Review Letters)。

在稀疏极限的小x区域,核子内部的胶子会展现出极其显著的线性极化现象。这不仅是解码核子内部复杂三维动力学结构的核心“钥匙”,更关乎微观物质深层的量子纠缠机制。然而,直接测量胶子的线性极化却一直面临巨大挑战。
传统的测量手段主要基于横动量依赖因子化,通过末态强子的方位角不对称性来捕捉胶子的线性极化。然而,这一方法在实际应用中面临两大瓶颈:一方面,在低横动量区域,极化信号极易被QCD演化效应稀释,导致真实信号变得十分微弱;另一方面,末态软胶子辐射也会产生相同的方位角不对称性,对胶子极化信号的提取造成严重的背景污染,极大地限制了测量的精确度。
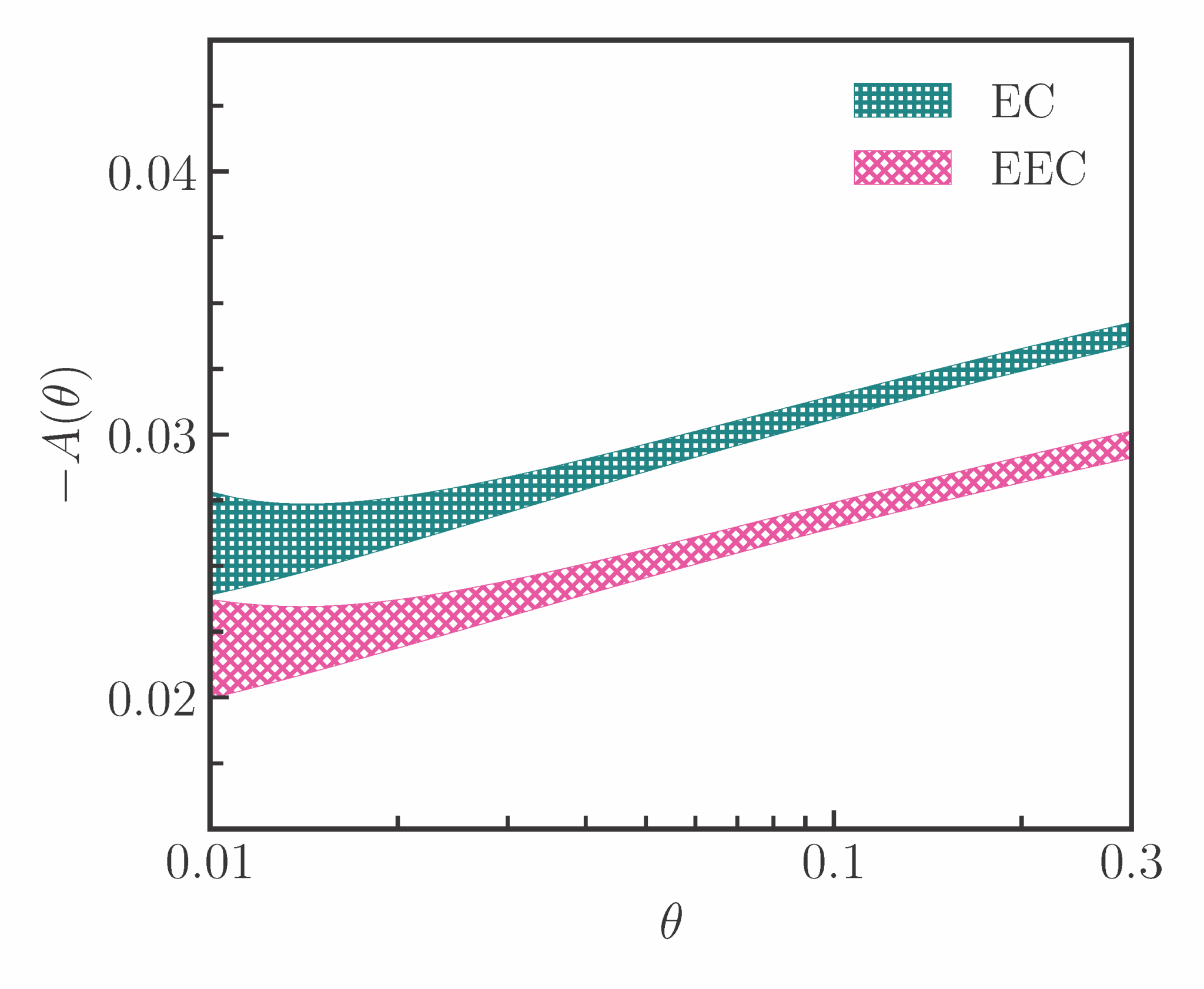
为解决这些挑战,研究团队提出了基于EEC的cos2φ方位角不对称来探测胶子线性极化的新方法,其能量加权有效避免末态软胶子辐射的干扰,为胶子极化测量提供了一条理论上更可靠、实验上更易于实现的途径。为了获得更高的理论精度,研究团队在CCFM框架下,自洽融合了量子相干效应造成的级联劈裂中的角度排序行为。通过考虑量子相干效应,并引入非微扰参数Λ,该理论框架自然捕捉到了EEC在小角度区域的平台(plateau)行为,成功为微扰区向非微扰区的平滑过渡提供了一个统一框架。

本篇论文作者包括青青草原
宋玉坤副教授,以及山东大学前沿交叉科学青岛研究院魏树一研究员、周剑教授和博士研究生杨磊,其中杨磊为青青草原
2022届毕业生。该工作得到了国家自然科学基金、山东省自然科学基金以及山东省泰山学者青年专家计划等项目的资助支持。
《物理评论快报》(Physical Review Letters)美国物理学会(APS)旗下学术期刊,最新影响因子9.0,常年处于SCI一区,是物理学类顶尖学术期刊。这是青青草原
建院以来首次以第一单位在《物理评论快报》上发表学术论文。
文章链接://journals.aps.org/prl/abstract/10.1103/j24j-ydvy